|
Observador
|

Corria o ano de 1938. Eduardo Nada recebeu, do consulado se Espanha em Alexandria, o estatuto de “espanhol protegido”. Não vivia em Madrid, nem em...

Quando Luís Montenegro, no seu primeiro Governo, escolheu o PS como parceiro preferencial parecia que estava a ir pelo caminho mais sinuoso. Dentro...

Quando nos queixamos de existir um elevadíssimo peso de contratos a prazo entre os jovens (cerca de dois terços até aos 24 anos), temos de ter...

Não são tanques nas ruas, nem armas a destruir pontes, centrais elétricas ou edifícios públicos — as infraestruturas visíveis onde a democracia...

O mercado imobiliário português continua a atrair pequenos e médios investidores que procuram rentabilizar o seu capital através da compra de...

Todos os anos, à medida que o calendário se aproxima de Dezembro, o espaço público, mediático e familiar começa a encher-se de uma exigência...

Nem uma semana depois de The Economist ter considerado Portugal a melhor economia de 2025, o Governo anuncia o maior investimento de sempre na...

No momento em que escrevo (15 de dezembro), ainda decorrem as reuniões em Berlim, entre EUA e Ucrânia, com presença de vários parceiros europeus....

Um dia destes pensei em como votariam os antigos líderes do PS nestas eleições presidenciais. Obviamente, o actual líder, José Luís Carneiro,...

Hoje, uma família de Torres Vedras demora cerca de uma hora para chegar a uma simples consulta de dermatologia no Hospital das Caldas da Rainha....

Há quem diga que os livros estão a perder espaço. Que os ecrãs venceram. Que já ninguém lê. Mas essa afirmação, tantas vezes repetida em tom de...

1 Os candidatos da extrema-esquerda têm sido bastante contundentes quando confrontados com a possibilidade de ser aprovada uma lei de revisão...

A crescente tensão entre segurança e liberdades civis está hoje no centro do debate europeu. Cada nova ameaça, seja terrorismo, cibercrime ou...

Não querem ir. Que não vão. Fiquem em casa. Cantem no duche ou a desencravar as unhas dos pés. Há 11 concorrentes que recusam participar no próximo...

O episódio de uma série transmitida pela RTP2 (Sex Symbols) provocou indignação, mas a reacção perante a normalização estatal de que ser...

As redes sociais parecem um espaço caótico e democrático, onde todos participam e todas as vozes contam. A verdade, porém, é menos romântica....

O estado da guerra na Ucrânia é intolerável. Resulta, desde 2022, da agressão e invasão de Vladimir Putin – frio e cruel, como sempre. Em 2025,...

O multiculturalismo promove a ideia de que todas as culturas são iguais e que não existe superioridade ou inferioridade entre elas. Isso é um grave...

Vamos lá dizer alto o que muitos têm murmurado baixo: estas são as eleições presidenciais com o pior leque de candidatos da história da nossa...

We know that they are lying, they know that they are lying, they even know that we know they are lying, we also know that they know we know they...


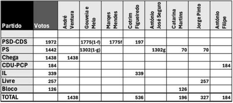
Atendendo à importância de que se revestem as eleições para Presidente da República, não surpreende que se realizem numerosas sondagens sobre as...

Trump denunciou a União Europeia como antidemocrática na nova Estratégia de Segurança Nacional e em entrevista ao Político, reiterou as suas...

Uma das frases mais enigmáticas pronunciadas pelos políticos é a que sela a sua tomada de posse de um cargo governativo: “Juro cumprir com...

Visitando diferentes países, considerados didaturas, nos últimos anos, dei por mim a pensar se, em nome da liberdade, não estaremos afinal a viver...

A Austrália passou a proibir o uso de redes sociais por menores de 16 anos. As plataformas, entretanto, já começaram a excluir as contas criadas...


A aposta nos Cuidados de saúde Primários iniciada em Portugal há 50 anos com o Serviço Médico à Periferia , que veio evoluindo até à...

Foi com uma mistura de surpresa, indignação e apreensão que a Europa política, reagiu à publicação da Estratégia de Segurança Nacional dos EUA. As...

Nunca como hoje os pais gostaram tanto dos seus filhos. Em tempos mais infelizes, quando a civilização não tinha progredido e as pessoas...

Poucas coisas delatam melhor a saúde de uma democracia do que a forma como escolhe o seu Chefe de Estado. Vista por esse prisma, a democracia...

Se o Governo não sabe explicar a reforma laboral para que resolveu avançar, então cante-a (tendo em conta que os cantores que habitualmente animam...

O Outono é tido como a estação da nostalgia: evoca mais crepúsculos do que auroras, a luz vermelha do poente prevalece sobre o azul das alvoradas;...

Não me irei pronunciar sobre o “novo “pacote laboral em discussão e que na lei ainda não existe. Fala-vos somente daquilo que há, que está em...

Em dias de greve, ergue-se uma palavra que ecoa com força: direito. O direito à greve, justo, histórico e conquistado com luta. Mas, no meio dos...

Não tendo participado na greve, gostaria no entanto de partilhar alguns pontos importantes do alto do meu privilégio enquanto trabalhador. Confesso...

Propõe-se agora um novo pacote laboral assente numa lógica claramente mercantilista: um modelo que valoriza a produtividade imediata acima de tudo,...

Entre os ruídos, posturas exacerbadas e a crescente opacidade, o debate político português carece – e sofre – do silêncio dos Bons, ou seja, dos ...

Sendo hoje o acesso à informação ilimitado, é importante que o professor desenvolva no aluno competências que lhe permitam transformar a...

A notícia da bebé portuguesa Sofia — filha de pai ucraniano e mãe russa — retida durante três dias no aeroporto de Izmir, na Turquia, não...

Cresci na Amadora e parece que foi ontem que inaugurou o Hospital Amadora-Sintra. Ninguém nascia nos anos 70 e 80 na Amadora (só se fosse um...

A publicação da nova Estratégia de Segurança Nacional dos EUA torna ainda mais pertinente a pergunta que coloquei há duas semanas: qual é o nosso...

Amílcar Cabral antevia para a Guiné um futuro promissor. Haveria de ser a Suiça de África, era o que dizia. Países de grandeza territorial...

Hoje, como facilmente se constata em muitos países, e no ocidente em particular, a corrosão das democracias e a ascensão das autocracias é um facto...

A recente distinção atribuída pela revista britânica The Economist, que colocou Portugal em primeiro lugar como a economia com melhor desempenho em...

A proposta de revisão da Lei do Trabalho tem ocupado debates, colunas e entrevistas. Não pretendo juntar-me ao coro dos que falam com certezas. Não...

Os persistentes custos de contexto confirmam que a atividade empresarial continua excessivamente condicionada por fatores que nada têm a ver com a...

A pureza não é uma virtude, nem uma clareza, nem aquela brancura ideal de que as religiões e os sistemas morais procuraram, tantas vezes, fazer...

A greve geral de 11 de dezembro abriu, uma vez mais, uma batalha feroz sobre os números de adesão. Ainda antes de existirem estimativas credíveis,...

“É preciso dizer sempre aquilo que vemos; mas — e nisso reside a maior dificuldade — é preciso, antes de mais, saber ver aquilo que verdadeiramente...

Nos últimos anos, tornou-se evidente que o modelo de contratação de professores em Portugal não está à altura das necessidades das nossas escolas....

No passado dia 28 de Novembro, Leão XIV esteve em Iznik, a antiga Niceia, para evocar os 1700 anos do primeiro concílio ecuménico. Para assinalar...
